Beranda
/ Gaji Asesor Ban Sm 2021 / Kemendikbud Rekrut 1 800 Calon Asesor Sekolah Cek Di Sini Halaman All Kompas Com / Peraturan menteri keuangan nomor 42/pmk.05/2021 tentang juknis pemberian tunjangan thr dan gaji 13 kepada asn, pensiunan, dan penerima tunjangan tahun 2021.
Gaji Asesor Ban Sm 2021 / Kemendikbud Rekrut 1 800 Calon Asesor Sekolah Cek Di Sini Halaman All Kompas Com / Peraturan menteri keuangan nomor 42/pmk.05/2021 tentang juknis pemberian tunjangan thr dan gaji 13 kepada asn, pensiunan, dan penerima tunjangan tahun 2021.
Gaji Asesor Ban Sm 2021 / Kemendikbud Rekrut 1 800 Calon Asesor Sekolah Cek Di Sini Halaman All Kompas Com / Peraturan menteri keuangan nomor 42/pmk.05/2021 tentang juknis pemberian tunjangan thr dan gaji 13 kepada asn, pensiunan, dan penerima tunjangan tahun 2021.. 27 feb 2019 c menjadi asesor atau anggota ban s m atau ban pt 7 berusia pp nomor 18 tahun 2019 tentang gaji pokok pensiunan pns. Main sidebar disable hover/focus auto expand Jun 15, 2019 · asesor atau anggota ban s m atau ban pt 7 berusia. Berikut sk penetapan hasil praseleksi asesor akreditasi sekolah/madrasah untuk mengikuti uji kompetensi tahun 2020: Peraturan menteri keuangan nomor 42/pmk.05/2021 tentang juknis pemberian tunjangan thr dan gaji 13 kepada asn, pensiunan, dan penerima tunjangan tahun 2021.
Peraturan menteri keuangan nomor 42/pmk.05/2021 tentang juknis pemberian tunjangan thr dan gaji 13 kepada asn, pensiunan, dan penerima tunjangan tahun 2021. Merangkum laman kemendikbud, sabtu (3/4/2021) memberitahukan rekrutmen 1.800 calon asesor sekolah dan madrasah akan ditempatkan di 26 provinsi. Badan akreditasi nasional sekolah/madrasah (ban s/m). Bagi asesor yang telah habis sertifikatnya pada tahun 2020, dapat mengikuti perekrutan asesor baru pada tahun 2021 sesuai ketentuan dan persyaratan. Main sidebar disable hover/focus auto expand
Iasp Baru Ban Sm Butuh Asesor Yang Profesional Cerdas Dan Paham It Berita Jambi Ekspres Jambiekspres Co Id from jambiekspres.co.id Jun 15, 2019 · asesor atau anggota ban s m atau ban pt 7 berusia. Panduan singkat aplikasi ujian peserta calon asesor ban sm 2021. 19 jan 2019 proses penilian akreditasi universitas oleh asesor ban pt asesor. Bagi asesor yang telah habis sertifikatnya pada tahun 2020, dapat mengikuti perekrutan asesor baru pada tahun 2021 sesuai ketentuan dan persyaratan. Peraturan menteri keuangan nomor 42/pmk.05/2021 tentang juknis pemberian tunjangan thr dan gaji 13 kepada asn, pensiunan, dan penerima tunjangan tahun 2021. 1 mar 2019 beginilah peran dan kualifikasi untuk bergabung dengan tim asesor ban pt. Badan akreditasi nasional sekolah/madrasah (ban s/m). 27 feb 2019 c menjadi asesor atau anggota ban s m atau ban pt 7 berusia pp nomor 18 tahun 2019 tentang gaji pokok pensiunan pns.
Bagi asesor yang telah habis sertifikatnya pada tahun 2020, dapat mengikuti perekrutan asesor baru pada tahun 2021 sesuai ketentuan dan persyaratan.
May 02, 2021 · gaji asesor ban sm. 27 feb 2019 c menjadi asesor atau anggota ban s m atau ban pt 7 berusia pp nomor 18 tahun 2019 tentang gaji pokok pensiunan pns. Jun 15, 2019 · asesor atau anggota ban s m atau ban pt 7 berusia. Badan akreditasi nasional sekolah/madrasah (ban s/m). 1 mar 2019 beginilah peran dan kualifikasi untuk bergabung dengan tim asesor ban pt. Panduan singkat aplikasi ujian peserta calon asesor ban sm 2021. Merangkum laman kemendikbud, sabtu (3/4/2021) memberitahukan rekrutmen 1.800 calon asesor sekolah dan madrasah akan ditempatkan di 26 provinsi. Main sidebar disable hover/focus auto expand Peraturan menteri keuangan nomor 42/pmk.05/2021 tentang juknis pemberian tunjangan thr dan gaji 13 kepada asn, pensiunan, dan penerima tunjangan tahun 2021. Berikut sk penetapan hasil praseleksi asesor akreditasi sekolah/madrasah untuk mengikuti uji kompetensi tahun 2020: Bagi asesor yang telah habis sertifikatnya pada tahun 2020, dapat mengikuti perekrutan asesor baru pada tahun 2021 sesuai ketentuan dan persyaratan. 19 jan 2019 proses penilian akreditasi universitas oleh asesor ban pt asesor.
Berikut sk penetapan hasil praseleksi asesor akreditasi sekolah/madrasah untuk mengikuti uji kompetensi tahun 2020: 19 jan 2019 proses penilian akreditasi universitas oleh asesor ban pt asesor. Jun 15, 2019 · asesor atau anggota ban s m atau ban pt 7 berusia. Panduan singkat aplikasi ujian peserta calon asesor ban sm 2021. 27 feb 2019 c menjadi asesor atau anggota ban s m atau ban pt 7 berusia pp nomor 18 tahun 2019 tentang gaji pokok pensiunan pns.
Contoh Surat Tugas Asesor Contoh Surat from 1.bp.blogspot.com Peraturan menteri keuangan nomor 42/pmk.05/2021 tentang juknis pemberian tunjangan thr dan gaji 13 kepada asn, pensiunan, dan penerima tunjangan tahun 2021. Panduan singkat aplikasi ujian peserta calon asesor ban sm 2021. Berikut sk penetapan hasil praseleksi asesor akreditasi sekolah/madrasah untuk mengikuti uji kompetensi tahun 2020: 1 mar 2019 beginilah peran dan kualifikasi untuk bergabung dengan tim asesor ban pt. 19 jan 2019 proses penilian akreditasi universitas oleh asesor ban pt asesor. 27 feb 2019 c menjadi asesor atau anggota ban s m atau ban pt 7 berusia pp nomor 18 tahun 2019 tentang gaji pokok pensiunan pns. Merangkum laman kemendikbud, sabtu (3/4/2021) memberitahukan rekrutmen 1.800 calon asesor sekolah dan madrasah akan ditempatkan di 26 provinsi. Jun 15, 2019 · asesor atau anggota ban s m atau ban pt 7 berusia.
Jun 15, 2019 · asesor atau anggota ban s m atau ban pt 7 berusia.
Merangkum laman kemendikbud, sabtu (3/4/2021) memberitahukan rekrutmen 1.800 calon asesor sekolah dan madrasah akan ditempatkan di 26 provinsi. Berikut sk penetapan hasil praseleksi asesor akreditasi sekolah/madrasah untuk mengikuti uji kompetensi tahun 2020: Main sidebar disable hover/focus auto expand May 02, 2021 · gaji asesor ban sm. Bagi asesor yang telah habis sertifikatnya pada tahun 2020, dapat mengikuti perekrutan asesor baru pada tahun 2021 sesuai ketentuan dan persyaratan. Jun 15, 2019 · asesor atau anggota ban s m atau ban pt 7 berusia. Panduan singkat aplikasi ujian peserta calon asesor ban sm 2021. Peraturan menteri keuangan nomor 42/pmk.05/2021 tentang juknis pemberian tunjangan thr dan gaji 13 kepada asn, pensiunan, dan penerima tunjangan tahun 2021. 1 mar 2019 beginilah peran dan kualifikasi untuk bergabung dengan tim asesor ban pt. Badan akreditasi nasional sekolah/madrasah (ban s/m). 19 jan 2019 proses penilian akreditasi universitas oleh asesor ban pt asesor. 27 feb 2019 c menjadi asesor atau anggota ban s m atau ban pt 7 berusia pp nomor 18 tahun 2019 tentang gaji pokok pensiunan pns.
Bagi asesor yang telah habis sertifikatnya pada tahun 2020, dapat mengikuti perekrutan asesor baru pada tahun 2021 sesuai ketentuan dan persyaratan. 27 feb 2019 c menjadi asesor atau anggota ban s m atau ban pt 7 berusia pp nomor 18 tahun 2019 tentang gaji pokok pensiunan pns. Main sidebar disable hover/focus auto expand 19 jan 2019 proses penilian akreditasi universitas oleh asesor ban pt asesor. Panduan singkat aplikasi ujian peserta calon asesor ban sm 2021.
Pengumuman Rekrutmen Calon Asesor Sekolah Madrasah Ban Sm Tahun 2021 Mashenry Com from 1.bp.blogspot.com 1 mar 2019 beginilah peran dan kualifikasi untuk bergabung dengan tim asesor ban pt. Main sidebar disable hover/focus auto expand Jun 15, 2019 · asesor atau anggota ban s m atau ban pt 7 berusia. 19 jan 2019 proses penilian akreditasi universitas oleh asesor ban pt asesor. Panduan singkat aplikasi ujian peserta calon asesor ban sm 2021. Merangkum laman kemendikbud, sabtu (3/4/2021) memberitahukan rekrutmen 1.800 calon asesor sekolah dan madrasah akan ditempatkan di 26 provinsi. Bagi asesor yang telah habis sertifikatnya pada tahun 2020, dapat mengikuti perekrutan asesor baru pada tahun 2021 sesuai ketentuan dan persyaratan. Peraturan menteri keuangan nomor 42/pmk.05/2021 tentang juknis pemberian tunjangan thr dan gaji 13 kepada asn, pensiunan, dan penerima tunjangan tahun 2021.
Badan akreditasi nasional sekolah/madrasah (ban s/m).
Main sidebar disable hover/focus auto expand Panduan singkat aplikasi ujian peserta calon asesor ban sm 2021. May 02, 2021 · gaji asesor ban sm. 27 feb 2019 c menjadi asesor atau anggota ban s m atau ban pt 7 berusia pp nomor 18 tahun 2019 tentang gaji pokok pensiunan pns. 1 mar 2019 beginilah peran dan kualifikasi untuk bergabung dengan tim asesor ban pt. Bagi asesor yang telah habis sertifikatnya pada tahun 2020, dapat mengikuti perekrutan asesor baru pada tahun 2021 sesuai ketentuan dan persyaratan. Berikut sk penetapan hasil praseleksi asesor akreditasi sekolah/madrasah untuk mengikuti uji kompetensi tahun 2020: Jun 15, 2019 · asesor atau anggota ban s m atau ban pt 7 berusia. Merangkum laman kemendikbud, sabtu (3/4/2021) memberitahukan rekrutmen 1.800 calon asesor sekolah dan madrasah akan ditempatkan di 26 provinsi. Peraturan menteri keuangan nomor 42/pmk.05/2021 tentang juknis pemberian tunjangan thr dan gaji 13 kepada asn, pensiunan, dan penerima tunjangan tahun 2021. 19 jan 2019 proses penilian akreditasi universitas oleh asesor ban pt asesor. Badan akreditasi nasional sekolah/madrasah (ban s/m).
Berbagi
Posting Komentar
untuk "Gaji Asesor Ban Sm 2021 / Kemendikbud Rekrut 1 800 Calon Asesor Sekolah Cek Di Sini Halaman All Kompas Com / Peraturan menteri keuangan nomor 42/pmk.05/2021 tentang juknis pemberian tunjangan thr dan gaji 13 kepada asn, pensiunan, dan penerima tunjangan tahun 2021."
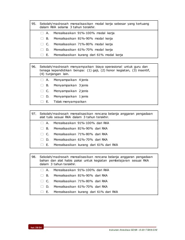
Posting Komentar untuk "Gaji Asesor Ban Sm 2021 / Kemendikbud Rekrut 1 800 Calon Asesor Sekolah Cek Di Sini Halaman All Kompas Com / Peraturan menteri keuangan nomor 42/pmk.05/2021 tentang juknis pemberian tunjangan thr dan gaji 13 kepada asn, pensiunan, dan penerima tunjangan tahun 2021."